Lực Hướng Tâm Là Gì? Công Thức Tính Và Ứng Dụng Thực Tế
Lực hướng tâm là gì? khái niệm then chốt trong cơ học khi nói về chuyển động tròn, dù trong đời sống hay trong vũ trụ bao la. Từ việc một chiếc xe ôm cua không bị văng ra khỏi đường, đến chuyển động quay ổn định của các hành tinh quanh Mặt Trời — tất cả đều nhờ vào lực hướng tâm. Hiểu rõ lực hướng tâm không chỉ giúp ta nắm vững nguyên lý vận động của vật thể, mà còn mở ra cái nhìn sâu sắc về cách thế giới vận hành dựa trên các quy luật vật lý cơ bản.

I. Lực Hướng Tâm Là Gì?
Lực hướng tâm là lực tác dụng lên một vật khi nó chuyển động theo quỹ đạo cong hoặc chuyển động tròn, với hướng luôn luôn hướng vào tâm của quỹ đạo. Lực này là yếu tố cơ bản giúp vật không bay khỏi quỹ đạo tròn mà tiếp tục bám theo vòng cung chuyển động. Trong khi lực ly tâm có xu hướng “đẩy ra ngoài” chỉ là cảm giác quán tính trong hệ quy chiếu quay, thì lực hướng tâm là lực thực, đóng vai trò giữ cho vật tiếp tục chuyển động theo quỹ đạo bán kính xác định.
II. Bản Chất Của Lực Hướng Tâm
Lực hướng tâm là một loại lực thật trong tự nhiên — nó có nguồn gốc vật lý rõ ràng và có thể đo lường được. Khi một vật chuyển động theo quỹ đạo tròn, nó có gia tốc hướng tâm (centripetal acceleration), và chính lực hướng tâm cung cấp gia tốc đó. Ví dụ, lực hấp dẫn giữ cho hành tinh quay quanh Mặt Trời, lực căng của dây giữ cho vật quay theo vòng tròn, hoặc lực ma sát giữa bánh xe và mặt đường giữ cho xe không trượt ra khỏi quỹ đạo khi ôm cua.

III. Công Thức Tính Lực Hướng Tâm
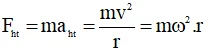
Để tính được Lực hướng tâm ta có công thức:
Fht = m * aht
+ Fht là lực hướng tâm, có đơn vị N
+ m là khối lượng của vật, có đơn vị kg
+ v là tốc độ dài của vật, có đơn vị m/s
+ ω là tốc độ góc của vật, có đơn vị rad/s
+ r là bán kính quỹ đạo của vật, có đơn vị m
IV. Các Nguồn Tạo Ra Lực Hướng Tâm
Nguồn tạo ra lực hướng tâm có thể đến từ nhiều loại lực tự nhiên khác nhau, tuỳ theo hệ vật lý.

- Lực hấp dẫn đóng vai trò là lực hướng tâm trong chuyển động của hành tinh, vệ tinh và các thiên thể.
- Lực ma sát giữa bánh xe và mặt đường giúp xe ô tô giữ quỹ đạo khi đi vào khúc cua.
- Lực căng dây là lực hướng tâm trong trường hợp quay một vật bằng dây.
- Ngoài ra, trong môi trường điện từ, lực Coulomb có thể đóng vai trò là lực hướng tâm tác động lên hạt mang điện khi chuyển động trong từ trường.
V. Ứng Dụng Của Lực Hướng Tâm Trong Đời Sống Thực Tế
Vai trò chính của lực hướng tâm là giữ vật trong quỹ đạo chuyển động tròn hoặc cong một cách ổn định và kiểm soát được.
- Trong công nghiệp và cơ khí, lực hướng tâm giúp vận hành các máy ly tâm, động cơ quay và bơm ly tâm.
- Trong thiên văn học, lực hấp dẫn đóng vai trò lực hướng tâm giúp duy trì trật tự của hệ Mặt Trời.
- Trong lĩnh vực giải trí, lực hướng tâm được sử dụng để tạo ra cảm giác đặc biệt trong các trò chơi xoay tròn.
- Nhờ lực hướng tâm, nhiều thiết bị và hiện tượng trong tự nhiên có thể hoạt động hiệu quả và ổn định.

Tham khảo 1 số loại bơm ly tâm phổ biến ở Huy Thành Pumps
VI. Phân Biệt Lực Hướng Tâm Và Ly Tâm
Lực hướng tâm và lực ly tâm thường được nhắc đến cùng nhau nhưng bản chất hoàn toàn khác nhau. Lực hướng tâm là lực thật, hướng vào tâm chuyển động và có thể xác định nguồn lực cụ thể. Ngược lại, lực ly tâm là lực ảo — chỉ xuất hiện trong hệ quy chiếu quay cùng vật, nhằm giải thích cảm giác bị đẩy ra ngoài. Nếu lực hướng tâm kéo vật vào tâm, thì lực ly tâm “như thể” đẩy vật ra khỏi tâm. Sự hiểu đúng về hai lực này giúp ta nhận thức chính xác hơn về cơ chế chuyển động tròn trong vật lý.
Trong bài viết trên, bạn có thể nắm được Lực Hướng Tâm Là Gì. Và những kiến thức về lực ly tâm trong cuộc sống hằng ngày. Nếu có bất kì thắc mắc nào, các bạn hãy liên hệ ngay với Huy Thành Pumps để được giải đáp và tư vấn tận tâm nhất!
Xem Thêm:

